Baffelstegsfråga

Hur funkar tekniken bakom bra hifi?

Moderator: Redaktörer

Användarvisningsbild
NADifierad
 
Inlägg: 15484
Blev medlem: 2009-01-04
Ort: Karlskrona

Baffelstegsfråga

Inläggav NADifierad » 2020-09-13 16:46

Finns det någon nedre frekvens för baffelstegskompensation?
Jag menar att våglängderna blir ju längre med sjunkande frekvens, så då borde kanske lägre frekvenser börja ta stöd från väggarna istället?
Kanske en skum fråga? :D
Stereo = En liten anläggning med visst basunderstöd….

Användarvisningsbild
jonasp
Blomkålsadmin
 
Inlägg: 8205
Blev medlem: 2003-08-04

Re: Baffelstegsfråga

Inläggav jonasp » 2020-09-13 18:10

Placeras högtalaren nära vägg, likt Ovation f8, bidrar ju väggen med baffelstöd. En oändlig baffel saknar ju nedre gränsfrekvens. En ändlig baffel har såklart alltid en undre frekvens där baffelstödet upphör. Att reflexen mot väggen bakom högtalarna är konstruktiv är dock inte samma sak som baffelstödet och måste hanteras som ett separat fenomen.

Blev du klokare? :)
Grundare och VD i Acoustic Illusion AB

Användarvisningsbild
Morello
 
Inlägg: 36525
Blev medlem: 2003-05-19
Ort: Stockholm/Täby

Re: Baffelstegsfråga

Inläggav Morello » 2020-09-13 18:12

Väggen bidrar nog väggstöd snarare än baffelstöd. :wink:
Driver: www.sybariteaudio.se
-Innehar F-skattsedel-

”Messen ist Wissen, aber messen ohne Wissen ist kein Wissen”

"Es ist noch kein Meister vom Himmel gefallen"

Användarvisningsbild
NADifierad
 
Inlägg: 15484
Blev medlem: 2009-01-04
Ort: Karlskrona

Re: Baffelstegsfråga

Inläggav NADifierad » 2020-09-13 18:55

Varför jag undrar är för att jag har lite konstruktionsfunderingar.
Jag funderar på på om basen i en trevägare kan överlappa midbasen uppåt för att ta hand om baffelstegskompensationen.
Och då låta väggarna kompensera den lägsta biten som inte omfattas av de överlappande elementen.
Stereo = En liten anläggning med visst basunderstöd….

Användarvisningsbild
jonasp
Blomkålsadmin
 
Inlägg: 8205
Blev medlem: 2003-08-04

Re: Baffelstegsfråga

Inläggav jonasp » 2020-09-13 18:56

Jag menar att skillnaden är kamfiltereffekten som uppstår redan vid ganska låga frekvenser när högtalaren är en bit ut från väggen. Enklaste sättet att visualisera detta är kanske att använda basta - laborera med lådbredden och titta på baffelsteget, testa sedan att sätta högtalaren som väggmonterad - basta har speciella funktioner för detta - och studera hur frekvensgången påverkas. Det blir lite berg och dalbana...
Grundare och VD i Acoustic Illusion AB

Användarvisningsbild
jonasp
Blomkålsadmin
 
Inlägg: 8205
Blev medlem: 2003-08-04

Re: Baffelstegsfråga

Inläggav jonasp » 2020-09-13 18:58

NADifierad skrev:Varför jag undrar är för att jag har lite konstruktionsfunderingar.
Jag funderar på på om basen i en trevägare kan överlappa midbasen uppåt för att ta hand om baffelstegskompensationen.
Och då låta väggarna kompensera den lägsta biten som inte omfattas av de överlappande elementen.


Låt baselementet spela i det område som saknar stöd, och låt mellanregistret ha stöd i hela sitt register, och välj en lagom brant delning. Eller annorlunda uttryckt - låt delningsfrekvens och baffelbredd samverka.
Grundare och VD i Acoustic Illusion AB

Användarvisningsbild
NADifierad
 
Inlägg: 15484
Blev medlem: 2009-01-04
Ort: Karlskrona

Re: Baffelstegsfråga

Inläggav NADifierad » 2020-09-13 19:19

Det har jag funderat på...
Tänkte bara att jag ville utnyttja membran-areorna maximalt, då funderingarna just nu involverar 18” bas och 12” mellanregister.
Stereo = En liten anläggning med visst basunderstöd….

Användarvisningsbild
jonasp
Blomkålsadmin
 
Inlägg: 8205
Blev medlem: 2003-08-04

Re: Baffelstegsfråga

Inläggav jonasp » 2020-09-13 20:01

Arean spelar mindre roll, det är delningsfrekvensen och baffelbredden som har störst betydelse.
Grundare och VD i Acoustic Illusion AB

Användarvisningsbild
NADifierad
 
Inlägg: 15484
Blev medlem: 2009-01-04
Ort: Karlskrona

Re: Baffelstegsfråga

Inläggav NADifierad » 2020-09-13 20:30

Tack så länge :) .
Funderar vidare...
Stereo = En liten anläggning med visst basunderstöd….

Tangband
Semesterfirare
 
Inlägg: 8841
Blev medlem: 2017-11-28

Re: Baffelstegsfråga

Inläggav Tangband » 2020-09-13 21:26

NADifierad skrev:Finns det någon nedre frekvens för baffelstegskompensation?
Jag menar att våglängderna blir ju längre med sjunkande frekvens, så då borde kanske lägre frekvenser börja ta stöd från väggarna istället?
Kanske en skum fråga? :D


Vid rummets schröderfrekvens och lägre beter sig ljudvågorna annorlunda , det borde innebära att nedanför denna gräns blir det inte entydigt längre vad som är baffelns stöd och väggarna runtomkring. Läs gärna GRIMMs white paper där de gör baffeln så bred att stödet från den når ned till schröderfrekvensen.

https://www.grimmaudio.com/wordpress/wp ... eakers.pdf

jansch
 
Inlägg: 4047
Blev medlem: 2009-05-01

Re: Baffelstegsfråga

Inläggav jansch » 2020-09-13 23:42

NADifierad skrev:Finns det någon nedre frekvens för baffelstegskompensation?
Jag menar att våglängderna blir ju längre med sjunkande frekvens, så då borde kanske lägre frekvenser börja ta stöd från väggarna istället?
Kanske en skum fråga? :D


Nej, det finns ingen undre gränsfrekvens för baffelstegskompensation.
Allt handlar om hur bred/hög baffeln är relativt våglängden. Alltså, är baffeln tillräckligt stor relativt våglängden kommer ljudet att riktas i en halvsfär som om baffeln vore oändlgt stor.
Detta gäller även de allra lägsta tonerna fast vi generellt säger att basen alltid är rundstrålande - skäl: vi har normalt inte bafflar som är många meter breda/höga (förutom vägginfällda högtalare)

När baffeln för liten relativt våglängden är högtalaren rundstrålande och andra avgränsningsytor påverkar, t.ex golv och bakre vägg. Dock! Det reflekterade ljudet kommer att påverka direktljudet genom superposionering (ljudvågorna adderas) . Är då låglängden stor jämfört med avståndet mellan högtalare och vägg kommer väggen att agera "baffelstöd".
Är våglängden däremot inte väsentligt större börjar utsläckning ske och är avståndet till väggen när en 1/4 våglängd kommer total utsläckning ske då ljudena adderas med 180 graders fasvridning. (om bakre väggen är en idealisk "reflektor)

jansch
 
Inlägg: 4047
Blev medlem: 2009-05-01

Re: Baffelstegsfråga

Inläggav jansch » 2020-09-14 00:03

Tangband skrev:
NADifierad skrev:Finns det någon nedre frekvens för baffelstegskompensation?
Jag menar att våglängderna blir ju längre med sjunkande frekvens, så då borde kanske lägre frekvenser börja ta stöd från väggarna istället?
Kanske en skum fråga? :D


Vid rummets schröderfrekvens och lägre beter sig ljudvågorna annorlunda , det borde innebära att nedanför denna gräns blir det inte entydigt längre vad som är baffelns stöd och väggarna runtomkring. Läs gärna GRIMMs white paper där de gör baffeln så bred att stödet från den når ned till schröderfrekvensen.

https://www.grimmaudio.com/wordpress/wp ... eakers.pdf


Jag hänger inte riktigt med i den argumentationen....

Dock, när 1/2 våglängden är längre än något avstånd mellan 2 avgränsningsytor kommer inga rumsresonanser uppstå - rummet blir trycksatt.

Användarvisningsbild
darkg
Ljushuvud
 
Inlägg: 8651
Blev medlem: 2011-12-11
Ort: Kristianstad

Re: Baffelstegsfråga

Inläggav darkg » 2020-09-14 00:16

Tangband skrev:Vid rummets schröderfrekvens och lägre ...


Vid Schrödingerfrekvensen blir allt verkligt tvetydigt.
:oops:
Don’t just do something, sit there.

MacBruce
 
Inlägg: 3725
Blev medlem: 2007-10-29

Re: Baffelstegsfråga

Inläggav MacBruce » 2020-09-14 00:28

darkg skrev:
Tangband skrev:Vid rummets schröderfrekvens och lägre ...


Vid Schrödingerfrekvensen blir allt verkligt tvetydigt.
:oops:


Ja, då vete katten vad som kan hända... ;-)
Antropomorfiera mera!
Det är skönt att kunna tekniken. — TfA.
Medlem av ABC-klubben, http://www.abc.se

Användarvisningsbild
jonasp
Blomkålsadmin
 
Inlägg: 8205
Blev medlem: 2003-08-04

Re: Baffelstegsfråga

Inläggav jonasp » 2020-09-14 05:53

Tangband skrev:
NADifierad skrev:Finns det någon nedre frekvens för baffelstegskompensation?
Jag menar att våglängderna blir ju längre med sjunkande frekvens, så då borde kanske lägre frekvenser börja ta stöd från väggarna istället?
Kanske en skum fråga? :D


Vid rummets schröderfrekvens och lägre beter sig ljudvågorna annorlunda , det borde innebära att nedanför denna gräns blir det inte entydigt längre vad som är baffelns stöd och väggarna runtomkring. Läs gärna GRIMMs white paper där de gör baffeln så bred att stödet från den når ned till schröderfrekvensen.

https://www.grimmaudio.com/wordpress/wp ... eakers.pdf


Det där är snömos. Man måste inte anpassa baffelbredden till rummets övergångsfrekvens.
Grundare och VD i Acoustic Illusion AB

Användarvisningsbild
I-or
Herr Ekvalisator
 
Inlägg: 8146
Blev medlem: 2020-08-30

Re: Baffelstegsfråga

Inläggav I-or » 2020-09-14 18:17

NADifierad,

Tänkte bara att jag ville utnyttja membran-areorna maximalt, då funderingarna just nu involverar 18” bas och 12” mellanregister.


Om du vill göra det enkelt för dig och få en lösning som passar i de flesta sammanhang, så borde du nog tänka om vad gäller storleken på mellanregisterelementet. Spridning och surround-/membranmoder blir annars stora problem vid lite högre frekvenser och du vinner egentligen väldigt lite på den stora membranytan. 18'' fungerar säkert OK upp till ca 200 Hz och 12'' blir då onödigt stort även om jag misstänker att du är ute efter ganska höga ljudtrycksnivåer. Med 8'' för mellanregistret får du mycket större frihet vad gäller val av diskantelement.

Baffelinverkan kan du sedan enkelt korrigera bort via parametrisk eq samtidigt som du tar hand om andra skavanker i frekvensgången.

Slutligen är Grimms white paper mycket riktigt trams vad gäller inverkan av Schröderfrekvensen som på tyska även benämns Großraumfrequenz (storrumsfrekvens). Schröder tog fram ett praktiskt användbart, men relativt godtyckligt, mått för att beskriva övergången från någorlunda tydligt diskreta rumsmoder till ett subjektivt mer konstant ljudfält som byggs upp av ett mycket stort antal moder - d.v.s. gränsfrekvensen mellan akustiskt "litet" och akustiskt "stort" rum. Så här kan frekvensgången se ut i lyssningspositionen i ett simulerat rum:


room modes.jpg
room modes.jpg (33 KiB) Visad 4506 gånger


Vem kan med blotta ögat avgöra Schröderfrekvensen här?

Spoiler:
Visa
198 Hz
Teknisk konsult inom akustik och audioteknik

Användarvisningsbild
NADifierad
 
Inlägg: 15484
Blev medlem: 2009-01-04
Ort: Karlskrona

Re: Baffelstegsfråga

Inläggav NADifierad » 2020-09-14 18:39

Jo, det är höga ljudtryck jag erftersträvar :) .
Diskanten som funderas på är ett Seos 15” waveguide, med en Beyma-driver.
Delningen till hornet blir runt 1,2 kHz.
Stereo = En liten anläggning med visst basunderstöd….

Användarvisningsbild
NADifierad
 
Inlägg: 15484
Blev medlem: 2009-01-04
Ort: Karlskrona

Re: Baffelstegsfråga

Inläggav NADifierad » 2020-09-14 19:43

Baffelstegsfrekvensen ligger runt 540Hz, om jag räknat rätt...
Lådan är 63 cm bred.
Så högt som 540 Hz, vill jag nog inte dela mellanregistret.
Så det lutar åt kompensation med Najdan (Parametrisk EQ).
Stereo = En liten anläggning med visst basunderstöd….

Tangband
Semesterfirare
 
Inlägg: 8841
Blev medlem: 2017-11-28

Re: Baffelstegsfråga

Inläggav Tangband » 2020-09-14 19:45

jonasp skrev:
Tangband skrev:
NADifierad skrev:Finns det någon nedre frekvens för baffelstegskompensation?
Jag menar att våglängderna blir ju längre med sjunkande frekvens, så då borde kanske lägre frekvenser börja ta stöd från väggarna istället?
Kanske en skum fråga? :D


Vid rummets schröderfrekvens och lägre beter sig ljudvågorna annorlunda , det borde innebära att nedanför denna gräns blir det inte entydigt längre vad som är baffelns stöd och väggarna runtomkring. Läs gärna GRIMMs white paper där de gör baffeln så bred att stödet från den når ned till schröderfrekvensen.

https://www.grimmaudio.com/wordpress/wp ... eakers.pdf


Det där är snömos. Man måste inte anpassa baffelbredden till rummets övergångsfrekvens.


Nej det är ju helt sant. Det är förstås en av GRIMMs salespoints, även om de väl har rätt i att man sparar konutslag för mellanregistret med en baffel som stöder i hela mellantonsområdet , och slipper kompensera för baffelsteget = man tjänar 3-4 dB i effektivitet. Eller har jag missförstått något ?

Sedan är det en annan sak om man gillar ljudet från en högtalare som har en väldigt bred baffel. Det blir många tidiga reflexer från baffeln och högtalarens utstrålning blir väl lika stor som baffeln är , om man inte använder waveguides ?

Tangband
Semesterfirare
 
Inlägg: 8841
Blev medlem: 2017-11-28

Re: Baffelstegsfråga

Inläggav Tangband » 2020-09-14 19:55

NADifierad skrev:Baffelstegsfrekvensen ligger runt 540Hz, om jag räknat rätt...
Lådan är 63 cm bred.
Så högt som 540 Hz, vill jag nog inte dela mellanregistret.
Så det lutar åt kompensation med Najdan (Parametrisk EQ).


Om du mäter från en dryg meter ifrån en av högtalarna med sinussvep på den plats högtalaren ska stå då du sedan lyssnar så ser du vad som händer. Men nivån på baffelstegskompensationen får kanske ställas mycket på gehör, efter det som låter bra enligt min erfarenhet, som inte är så stor. :)

Enligt Troels gravesen kan man räkna ut baffelstegets frekvens med hjälp av formeln 11600/20 , där siffran 20 motsvarar baffelns bredd i cm .
http://www.troelsgravesen.dk/Acapella_WB.htm

Om detta stämmer så blir -3 dB frekvensen med din baffel vid 184 Hz, inte 540 Hz.

Användarvisningsbild
NADifierad
 
Inlägg: 15484
Blev medlem: 2009-01-04
Ort: Karlskrona

Re: Baffelstegsfråga

Inläggav NADifierad » 2020-09-14 20:04

Jag gillar din uträkning bättre :D .
Det hamnar mer i rätt härad av önskad delning mellan bas och mellanregister.
Mina egna tidigare erfarenheter har också varit en lägre kompensationsfrekvens, än den jag räknat fram.
Stereo = En liten anläggning med visst basunderstöd….

Användarvisningsbild
NADifierad
 
Inlägg: 15484
Blev medlem: 2009-01-04
Ort: Karlskrona

Re: Baffelstegsfråga

Inläggav NADifierad » 2020-09-14 20:07

Formeln jag använt är 340/0,63, där 0,63 är baffelbredden (63 cm).
Stereo = En liten anläggning med visst basunderstöd….

Användarvisningsbild
jonasp
Blomkålsadmin
 
Inlägg: 8205
Blev medlem: 2003-08-04

Re: Baffelstegsfråga

Inläggav jonasp » 2020-09-14 21:04

I-or skrev:Slutligen är Grimms white paper mycket riktigt trams vad gäller inverkan av Schröderfrekvensen som på tyska även benämns Großraumfrequenz (storrumsfrekvens). Schröder tog fram ett praktiskt användbart, men relativt godtyckligt, mått för att beskriva övergången från någorlunda tydligt diskreta rumsmoder till ett subjektivt mer konstant ljudfält som byggs upp av ett mycket stort antal moder - d.v.s. gränsfrekvensen mellan akustiskt "litet" och akustiskt "stort" rum. Så här kan frekvensgången se ut i lyssningspositionen i ett simulerat rum:


room modes.jpg


Vem kan med blotta ögat avgöra Schröderfrekvensen här?


Jag gissade bara lite fel; dryga 200 Hz, men det var ju (ytterst knappa) 200 Hz. :D Jag vet inte hur vanligt just begreppet Schrödefrekvens är, brukar kalla den för övergångsfrekvens på svenska.
Grundare och VD i Acoustic Illusion AB

Användarvisningsbild
jonasp
Blomkålsadmin
 
Inlägg: 8205
Blev medlem: 2003-08-04

Re: Baffelstegsfråga

Inläggav jonasp » 2020-09-14 21:12

Tangband skrev:Nej det är ju helt sant. Det är förstås en av GRIMMs salespoints, även om de väl har rätt i att man sparar konutslag för mellanregistret med en baffel som stöder i hela mellantonsområdet , och slipper kompensera för baffelsteget = man tjänar 3-4 dB i effektivitet. Eller har jag missförstått något ?


Verkningsgraden, eller åtminstone spänningskänsligheten, sjunker mycker riktigt under baffelsteget. Men du kan inte mena allvar? Om nu baffelbredden matchar överångsfrekvensen - som ofta är över 200 Hz i normala rum - så behöver man alltså inte bry sig om vad som händer därunder? Jag föredrar iallafall att konstruera högtalare som spelar fullregistrigt, dvs åtminstone ner till under 40 Hz (helst djupare), och då måste man ha med ett baffelsteg.

Tangband skrev:Sedan är det en annan sak om man gillar ljudet från en högtalare som har en väldigt bred baffel. Det blir många tidiga reflexer från baffeln och högtalarens utstrålning blir väl lika stor som baffeln är , om man inte använder waveguides ?


Näeeee. :) Högtalarens spridningsegenskaper dikteras främst av elementen. Baffel ger inte "reflexer" utan stöd. Högtalare med bred baffel låter inte på något speciellt sätt, mer än att de kanske statistiskt har större element och högre riktverkan. Diffraktionsfenomenen tenderar förstås att bli snällare med en bred baffel också, men de måste inte per automatik vara besvärande på högtalare med small baffel.

Två superbra högtalare med pyttebafflar (för en del av elementet iallafall) är ju NHT 3.3 och B&W Matrix 801. Det går ju såklart att hitta högtalare med bred baffel som är riktigt bra också.
Grundare och VD i Acoustic Illusion AB

Tangband
Semesterfirare
 
Inlägg: 8841
Blev medlem: 2017-11-28

Re: Baffelstegsfråga

Inläggav Tangband » 2020-09-14 21:27

jonasp skrev:
Tangband skrev:Nej det är ju helt sant. Det är förstås en av GRIMMs salespoints, även om de väl har rätt i att man sparar konutslag för mellanregistret med en baffel som stöder i hela mellantonsområdet , och slipper kompensera för baffelsteget = man tjänar 3-4 dB i effektivitet. Eller har jag missförstått något ?


Verkningsgraden, eller åtminstone spänningskänsligheten, sjunker mycker riktigt under baffelsteget. Men du kan inte mena allvar? Om nu baffelbredden matchar överångsfrekvensen - som ofta är över 200 Hz i normala rum - så behöver man alltså inte bry sig om vad som händer därunder? Jag föredrar iallafall att konstruera högtalare som spelar fullregistrigt, dvs åtminstone ner till under 40 Hz (helst djupare), och då måste man ha med ett baffelsteg.

Tangband skrev:Sedan är det en annan sak om man gillar ljudet från en högtalare som har en väldigt bred baffel. Det blir många tidiga reflexer från baffeln och högtalarens utstrålning blir väl lika stor som baffeln är , om man inte använder waveguides ?


Näeeee. :) Högtalarens spridningsegenskaper dikteras främst av elementen. Baffel ger inte "reflexer" utan stöd. Högtalare med bred baffel låter inte på något speciellt sätt, mer än att de kanske statistiskt har större element och högre riktverkan. Diffraktionsfenomenen tenderar förstås att bli snällare med en bred baffel också, men de måste inte per automatik vara besvärande på högtalare med small baffel.

Två superbra högtalare med pyttebafflar (för en del av elementet iallafall) är ju NHT 3.3 och B&W Matrix 801. Det går ju såklart att hitta högtalare med bred baffel som är riktigt bra också.


Självklart ska högtalaren spela fullregistrigt :) . Jag menade förstår ett tänkbart mellanregisterelement som inte spelar i basområdet och hur det skulle kunna se ut att minimera behovet av baffelstegskompensation. Ungefär som GRIMM gjort.

Min erfarenhet av högtalare med breda bafflar och hur de låter är ganska begränsad . Inwallhögtalare som har en enorm baffel , oavsett pris gillar jag däremot inte ( har haft ett antal sådana ) eftersom jag gillar den falska illusionen av djup som ett par golvhögtalare ger som är placerade en bit ut i rummet. Jag tycker inwallhögtalare låter platt.

Användarvisningsbild
jonasp
Blomkålsadmin
 
Inlägg: 8205
Blev medlem: 2003-08-04

Re: Baffelstegsfråga

Inläggav jonasp » 2020-09-14 21:39

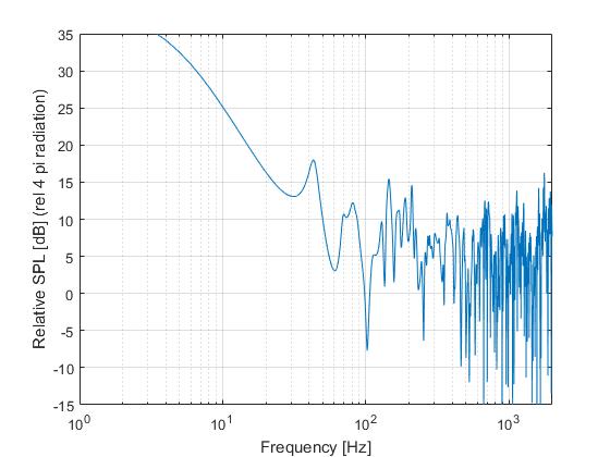
Tangband skrev:Självklart ska högtalaren spela fullregistrigt :) . Jag menade förstår ett tänkbart mellanregisterelement som inte spelar i basområdet och hur det skulle kunna se ut att minimera behovet av baffelstegskompensation. Ungefär som GRIMM gjort.


Fast de har inte minimerat behovet av baffelstegskompensation. Åttatummaren måste baffelstegskompenseras. Det här är baffelresponsen hos en 50 cm (ca 20") bred baffel:

Screenshot 2020-09-14 212105.png
Screenshot 2020-09-14 212105.png (20.61 KiB) Visad 4452 gånger


Tangband skrev:Min erfarenhet av högtalare med breda bafflar och hur de låter är ganska begränsad . Inwallhögtalare som har en enorm baffel , oavsett pris gillar jag däremot inte ( har haft ett antal sådana ) eftersom jag gillar den falska illusionen av djup som ett par golvhögtalare ger som är placerade en bit ut i rummet. Jag tycker inwallhögtalare låter platt.


Mitt budskap var att de låter inte alls på något speciellt vis, om de är välgjorda. Däremot tycker jag inte den falska illusionen, som du kallar den, är så falsk - iallafall inte om reflexen från väggen bakom högtalarna är tillräckligt sen, eller väggen är något dämpad.

Tycker du andra högtalare (bra) med väggnära placering alltid låter platt?
Grundare och VD i Acoustic Illusion AB

Användarvisningsbild
I-or
Herr Ekvalisator
 
Inlägg: 8146
Blev medlem: 2020-08-30

Re: Baffelstegsfråga

Inläggav I-or » 2020-09-14 22:32

NADifierad,

Du behöver inte bry dig om baffeleffekterna när du väljer delningsfrekvens, speciellt inte när du kommer att använda eq. Dela istället där det är lämpligt m.a.p. elementens egenskaper. Utan att närmare känna till egenskaperna för 12:an vågar jag ändå gissa att du kommer att få problem med en 12'' och en delningsfrekvens om 1,2 kHz (ojämn frekvensgång och distorsion i den sista oktaven i passbandet). En bra 8'' kan ha ypperliga egenskaper här.

I läroböcker i elektroakustik brukar man lite halvflummigt tala om "typisk" baffeldimension, vilket ofta anses betyda medelvärdet av bredd och höjd (detta stämmer dock inte särskilt bra när sidoförhållandet är stort). När denna typiska dimension motsvarar ca 1/2 våglängd så har man mellan tummen och pekfingret en känslighetshöjning om 3 dB on-axis, vilken sedan ökar till 6 dB vid ca 1 våglängd. I verkligheten blir det betydligt stökigare - man måste både ta hänsyn till elementplacering och eventuell krökning av baffeln och för plana ytor kan man få ganska fula toppar/dalar i frekvensgången om man inte ser upp. En asymmetrisk elementplacering är att rekommendera. Här är en länk till legendariske akustikern Harry F Olsons likaledes legendariska paper i ämnet: http://www.dwdrums.com/images/moonmic/olson_direct-radiator-loudspeaker-enclosures.pdf

Med sådär 0,8-0,9 m, som den typiska dimensionen antagligen handlar om i ditt fall, landar man på ca 345/(0,85*2) = 200 Hz för 3 dB-punkten.
Teknisk konsult inom akustik och audioteknik

Användarvisningsbild
NADifierad
 
Inlägg: 15484
Blev medlem: 2009-01-04
Ort: Karlskrona

Re: Baffelstegsfråga

Inläggav NADifierad » 2020-09-15 06:27

Tack för utförlig förklaring :) .
Och som du föreslår, så kommer jag att fixa kompensationen med EQ.
Jag vet att det kan verka lite radikalt med 12” mellanregister.
Men ljudtryck och effekttålighet är prio på dessa .
De är för när hornen växer ut, och volymknappen inte räcker till :D .
Jag har mer normala högtalare för finliret.
Stereo = En liten anläggning med visst basunderstöd….

Användarvisningsbild
jonasp
Blomkålsadmin
 
Inlägg: 8205
Blev medlem: 2003-08-04

Re: Baffelstegsfråga

Inläggav jonasp » 2020-09-15 08:28

12" mellanregister är väl inget konstigt när man delar till en kompressionsdriver och/eller i PA-system.

Nadifierad, jag vill fortfarande uppmana dig att leka med till exempel Basta eller Edge, om inte annat för att få en bättre känsla för det hänger ihop. Tänk på att elementdiametern du matar in ska motsvara den akustiska storleken hos elementet (strålande area), inte den mekaniska på korgen.

Tangband, har du funderar på hur du upplever att högtalare med hög riktverkan (typ som den Nadifierad vill bygga, dvs större element och vågguide/horn) låter, samt hur mer rundstrålande högtalare låter?
Grundare och VD i Acoustic Illusion AB

Maarten
 
Inlägg: 4400
Blev medlem: 2003-05-25
Ort: Göteborg

Re: Baffelstegsfråga

Inläggav Maarten » 2022-06-07 09:17

I-or skrev:NADifierad,

Du behöver inte bry dig om baffeleffekterna när du väljer delningsfrekvens, speciellt inte när du kommer att använda eq. Dela istället där det är lämpligt m.a.p. elementens egenskaper. Utan att närmare känna till egenskaperna för 12:an vågar jag ändå gissa att du kommer att få problem med en 12'' och en delningsfrekvens om 1,2 kHz (ojämn frekvensgång och distorsion i den sista oktaven i passbandet). En bra 8'' kan ha ypperliga egenskaper här.

I läroböcker i elektroakustik brukar man lite halvflummigt tala om "typisk" baffeldimension, vilket ofta anses betyda medelvärdet av bredd och höjd (detta stämmer dock inte särskilt bra när sidoförhållandet är stort). När denna typiska dimension motsvarar ca 1/2 våglängd så har man mellan tummen och pekfingret en känslighetshöjning om 3 dB on-axis, vilken sedan ökar till 6 dB vid ca 1 våglängd. I verkligheten blir det betydligt stökigare - man måste både ta hänsyn till elementplacering och eventuell krökning av baffeln och för plana ytor kan man få ganska fula toppar/dalar i frekvensgången om man inte ser upp. En asymmetrisk elementplacering är att rekommendera. Här är en länk till legendariske akustikern Harry F Olsons likaledes legendariska paper i ämnet: http://www.dwdrums.com/images/moonmic/olson_direct-radiator-loudspeaker-enclosures.pdf

Med sådär 0,8-0,9 m, som den typiska dimensionen antagligen handlar om i ditt fall, landar man på ca 345/(0,85*2) = 200 Hz för 3 dB-punkten.

Kollar lite vad som skrivits här avseende baffeltsteg. Bra riktlinjer!
sb17nbac till alla!

Användarvisningsbild
I-or
Herr Ekvalisator
 
Inlägg: 8146
Blev medlem: 2020-08-30

Re: Baffelstegsfråga

Inläggav I-or » 2022-06-07 14:20

Det man kan lägga till är att i allmänhet blir baffelsteget i praktiken mer abrupt än det ganska gradvisa lyft man ofta ser i olika förenklade beskrivningar. Mer noggranna simuleringar och mätningar brukar ge vid handen att man når 6 dB-punkten vid ca 0,7 våglängd.

Sedan kan man även få en ganska kraftig första översläng, vilken på referensaxeln kan ge ytterligare ca 2 dB utöver de 6 som gäller för baffelsteget överlag. Effekterna är enorma och man måste verkligen ha kontroll på detta i en bra konstruktion, men med ekvalisering blir det naturligtvis mycket enkelt att hantera även om man struntar i kompensationer i delningsfiltret (elementinduktansen är oftast numer så låg att den inte ger den inneboende kompensering som var vanlig fram till för några decennier sedan).
Teknisk konsult inom akustik och audioteknik

Maarten
 
Inlägg: 4400
Blev medlem: 2003-05-25
Ort: Göteborg

Re: Baffelstegsfråga

Inläggav Maarten » 2022-06-07 20:24

Ok, tack!

Hur ska man tänka avseende baffelstegskompensering när man måste kompromissa mellan att kompensera för direktljud och energirespons? Är rak frekvensgång i referensaxel prioriterat framför energirespons, eller ska man kompromissa? (Denna kompromiss gäller väl så länge baffeln inte är oändlig och beror, gissar jag, även på rum och uppställning?)

(Citerade en del inlägg ang detta här: viewtopic.php?f=3&t=72656&p=2230878#p2230878 men det är mest "for the record")
sb17nbac till alla!

Användarvisningsbild
I-or
Herr Ekvalisator
 
Inlägg: 8146
Blev medlem: 2020-08-30

Re: Baffelstegsfråga

Inläggav I-or » 2022-06-08 13:10

Eftersom rumsförstärkningen inte blir märkbar förrän under 100 Hz med normala uppställningar bör man sikta på konstant frekvensgång på referensaxeln ned till ungefär denna frekvens (en något stigande frekvensgång i nollgradersriktningen framför diskantelementet kan vara att föredra om man avser att ställa upp högtalarna med begränsad invinkling). För lägre frekvenser blir det hela till stor del en fråga om verkningsgrad kontra kavitetsvolym i kombination med vad man tror om rumsförstärkningen, vilken varierar en hel del med uppställningen och begränsningsytornas egenskaper.

I slutänden måste man dock ändå ekvalisera för att få till frekvensgången riktigt bra i rummet, så det är egentligen viktigast att spridningen blir jämn och att distorsionen inte sticker iväg.
Teknisk konsult inom akustik och audioteknik

Maarten
 
Inlägg: 4400
Blev medlem: 2003-05-25
Ort: Göteborg

Re: Baffelstegsfråga

Inläggav Maarten » 2022-06-08 18:12

OK, tack!
sb17nbac till alla!


Återgå till Teknikforum


Vilka är online

Användare som besöker denna kategori: Inga registrerade användare och 13 gäster