Dist. i luft VARNING STORA BILDER

Hur funkar tekniken bakom bra hifi?

Moderator: Redaktörer

Användarvisningsbild
lilltroll
 
Inlägg: 1697
Blev medlem: 2005-01-03

Dist. i luft VARNING STORA BILDER

Inläggav lilltroll » 2006-11-16 23:25

Sitter och klurar lite på dist. som uppstår i luft vid höga ljudtrycksnivåer.
Till exempel de höga ljudtryck som uppstår i en högtalarlåda.
Gjorde några MATLAB simuleringar för längre sedan gällande ultraljud, men då var formeln färdig.

Jag misstänker att jag söker lösningen till den icke linjära vågekvationen. Jag nöjer mig med det det 1 dim. fallet och lösningen får beskrivas som en Taylor-utveckling för vanlig luft vid rumstemperatur om ingen vettig analytisk lösning finns.

Någon som redan klurat på detta och har svaret?

Har gjort lite dist mätningar med Trolldist i baslådor, och nu vill jag kunna få det att stämma med teorin runt icke-linjära ljudtrycksnivåer.
Senast redigerad av lilltroll 2006-11-29 02:10, redigerad totalt 1 gång.
Beach 2010 - Nyårslöftet - ehh ingen kommentar
* * * * * * * * * * * * * * * * *

Användarvisningsbild
lilltroll
 
Inlägg: 1697
Blev medlem: 2005-01-03

I lådan

Inläggav lilltroll » 2006-11-16 23:42

Hur blir det i en låda där våglängden är >> lådan. Typ liten baslåda.
Misstänker att den största icke-linjära effekten uppstår på grund av att volymen i lådan moduleras av elementets utslag, och således att den akustiska fjädringen blir olinjär. Hur kan man förstå att den effekten i så fall är den dominerande?

Den andra effekten borde bli beroende av utbredningstiden :?:
Beach 2010 - Nyårslöftet - ehh ingen kommentar
* * * * * * * * * * * * * * * * *

Användarvisningsbild
lilltroll
 
Inlägg: 1697
Blev medlem: 2005-01-03

Simulering (STORA BILDER)

Inläggav lilltroll » 2006-11-29 02:12

Först kommer en simulering på trycket i lådan som funktion av normerat membranutslag. 100 % betyder att membranutslagets volym är lika stort som hela lådan.
Simuleringen visar en isoterm process, d v s en process där teperaturen är konstant.

Den blåsvarta kurvan visar trycket i lådan, medan de andra visar en 1:a en 2:a och en 4:e ordningens approximation. När man räknar linjärt så förutsätter man 1:a ordningens approximationen.


Bild
!Det ska stå isobar inte adiabatisk!


Här har jag zoomat in i området +- 20% vilket är ganska präktiga membranutslag i praktiken. Man kan se att redan en andra ordningens approximation följer väl. Det är ju även en del 2:a tons dist som vi vörväntar oss i lådan

Bild
!Det ska stå isobar inte adiabatisk!

Nästa steg är att göra det för en 2-atomig gas ->luft :arrow:
Senast redigerad av lilltroll 2006-12-02 20:08, redigerad totalt 1 gång.
Beach 2010 - Nyårslöftet - ehh ingen kommentar
* * * * * * * * * * * * * * * * *

Användarvisningsbild
lilltroll
 
Inlägg: 1697
Blev medlem: 2005-01-03

Inläggav lilltroll » 2006-11-29 02:15

Det var inte meningen att bilderna skulle bli så stora, men jag orkar inte gör om dem :oops:
Beach 2010 - Nyårslöftet - ehh ingen kommentar
* * * * * * * * * * * * * * * * *

Användarvisningsbild
Svante
Audiot!
 
Inlägg: 37552
Blev medlem: 2004-03-03
Ort: oakustisk

Inläggav Svante » 2006-11-29 09:04

Hmm, pV=konst, inebär inte det att processen är isoterm?

pV=nRT fick jag lära mig, för länge sedan.

Du måste nog ta med diatomärigheten hos luft också, jag tror att den ger ett stort bidrag via gamma=1,4.

PS. Kanske får du fler svar om du är tydligare med att berätta vad kurvorna visar. Inte som matlabkod, utan med formler i text. :wink:
Så länge har jag längat efter att loudness war skulle vara över. Nu börjar jag tro att vi faktiskt är där. Kruxet är att vi förlorade.

Användarvisningsbild
lilltroll
 
Inlägg: 1697
Blev medlem: 2005-01-03

Inläggav lilltroll » 2006-11-29 18:58

Ja, det innebär att processen är isoterm. Simuleringen visar det enkla fallet p=k/(V+dV)

Ganska långt från verkligheten, men om frekvensen var 1mHz samt det satt värme/kyl element i lådan som kunde kyla samt värma luften så att temperaturen är konstant så skulle det vara en vettig modell eller ? 8)

När membranet går in i lådan och volymen går mot noll så går trycket mot oändligheten, när membranet går utåt så att den totala volymen går mot 2V så går trycket mot 0.5 bar.

De övriga kurvorna visar en taylorutveckling av detta, dvs en taylorutveckling av 1/(1+x) runt området x=0. Detta för att få en hint om vilka distortionstoner som bildas i lådan.

1/(1+x)=1-x+x^2-x^3+x^4-x^5...

Eftersom |x|>1 så kommer andratonen att dominera, men en hel matta med harmonisk dist finns där att finna. (I denna simulering som är en bit från verkligheten än så länge)

Nu, för att komma lite närmare vanlig luft, hur ser p(V,T) ut, och hur hanterar vi den termiska delen för ljud (snabba förändringar)

Läste lite i min gamla termodynamikbok, men där hanteras mest de långsamma fallen när p ändras mycket långsamt över tid jämfört med hörbara ljud.
Beach 2010 - Nyårslöftet - ehh ingen kommentar
* * * * * * * * * * * * * * * * *

Användarvisningsbild
Svante
Audiot!
 
Inlägg: 37552
Blev medlem: 2004-03-03
Ort: oakustisk

Inläggav Svante » 2006-11-29 21:26

lilltroll skrev:Eftersom |x|>1 så kommer andratonen att dominera, men en hel matta med harmonisk dist finns där att finna. (I denna simulering som är en bit från verkligheten än så länge)


Mja, det blir nog som en spikmatta för nybörjare (en spik...) om inte ljudtrycket är extremt högt. Jag vill minnas att jag i mina simuleringar såg en rätt rak envelopp på övertonerna om det inte var ohygglostarkt. Ligger 2:a deltonen 20 dB ner så låg 3:e 40 dB ner, 30-60, 40-80 osv.

Det är svårt att få någon styrka på de högre deltonerna, i varje fall i mina simuleringar.
Så länge har jag längat efter att loudness war skulle vara över. Nu börjar jag tro att vi faktiskt är där. Kruxet är att vi förlorade.

Användarvisningsbild
lilltroll
 
Inlägg: 1697
Blev medlem: 2005-01-03

Inläggav lilltroll » 2006-11-29 22:34

Svante skrev:
lilltroll skrev:Eftersom |x|>1 så kommer andratonen att dominera, men en hel matta med harmonisk dist finns där att finna. (I denna simulering som är en bit från verkligheten än så länge)


Mja, det blir nog som en spikmatta för nybörjare (en spik...) om inte ljudtrycket är extremt högt. Jag vill minnas att jag i mina simuleringar såg en rätt rak envelopp på övertonerna om det inte var ohygglostarkt. Ligger 2:a deltonen 20 dB ner så låg 3:e 40 dB ner, 30-60, 40-80 osv.

Det är svårt att få någon styrka på de högre deltonerna, i varje fall i mina simuleringar.


Öhh har jag inte skrivet det?

1-x+x^2-x^3+x^4-x^5...

Om x=0.1 så blir x^2 = 0.01 och x^3 = 0.001 dvs -20 dB -40 dB osv
Om vi skickar in 1 st sinus så får vi ut amplituden på övertonerna m h a taylorutvecklingen eller?

På logskala så kan vi flytta ner exponenten och vi ser att det alltid följer som ,20-40, 30-60, 40-80 osv

X=1 motsvarar att p-> oändligheten, då har vi oädligt många övertoner med icke försumbar energi i. Det åtgick oändligt med energi, och vi har oändligt med energi i lådan med frekvenser upp till oändligheten.

Nu kan jag ju smyga in den adiabatiska konstanten för luft men jag förstår inte den fysikaliska innebörden av "adiabatiska konstanten=förhållandet mellan mediets värmekapacivitet vid konstant tryck och konstant volym"

Hur ser en typisk termisk kapacitans ut?
Beach 2010 - Nyårslöftet - ehh ingen kommentar
* * * * * * * * * * * * * * * * *

Användarvisningsbild
Naqref
Saknad grundare, †2014
 
Inlägg: 27893
Blev medlem: 2003-03-23
Ort: Krischansta

Inläggav Naqref » 2006-11-29 22:35

lilltroll skrev:Nu, för att komma lite närmare vanlig luft, hur ser p(V,T) ut, och hur hanterar vi den termiska delen för ljud (snabba förändringar)


Nu har jag inte studerat detta noggrannare men bör inte temperatur(tryck)läckaget (både ljudmässigt på lite längre håll och även om man ser nära membranet från luftmolekyler som ligger lite längre ifrån) bli högre vid högre frekvenser? D v s man får ta hänsyn till medelmolekylhastigheten för att bedömma hur beteendet blir? Vilket i sin tur borde bli en linjär funktion av våglängden. Meeen nu vet jag ju inte riktigt. ;)
Audiodesigner åt en del. Larsen, Holographic Audio etc.
CEO och huvudägare i Acoustic Landscape R&D AB.
CTO / R&D Manager och delägare i Acoustic Illusion AB.

Användarvisningsbild
Svante
Audiot!
 
Inlägg: 37552
Blev medlem: 2004-03-03
Ort: oakustisk

Inläggav Svante » 2006-11-29 22:55

Naqref™ skrev:
lilltroll skrev:Nu, för att komma lite närmare vanlig luft, hur ser p(V,T) ut, och hur hanterar vi den termiska delen för ljud (snabba förändringar)


Nu har jag inte studerat detta noggrannare men bör inte temperatur(tryck)läckaget (både ljudmässigt på lite längre håll och även om man ser nära membranet från luftmolekyler som ligger lite längre ifrån) bli högre vid högre frekvenser? D v s man får ta hänsyn till medelmolekylhastigheten för att bedömma hur beteendet blir? Vilket i sin tur borde bli en linjär funktion av våglängden. Meeen nu vet jag ju inte riktigt. ;)


Jo, det är intressant det där. Temperaturutbytet till intilliggande luft ger faktiskt en dämpning av vågen. Vågens energi omsätts till värme. Och det är inte alldeles snutet ur näsan när energiförlusten blir störst eftersom våglängden blir längre när det går långsammare. Jag har ändå för mig att förlusterna pga detta ökar med frekvensen, precis som du säger och att fenomenet alltså märks mest vid ultraljudsfrekvenser.

Har jag för mig att JoLi har sagt.
Så länge har jag längat efter att loudness war skulle vara över. Nu börjar jag tro att vi faktiskt är där. Kruxet är att vi förlorade.

Användarvisningsbild
Naqref
Saknad grundare, †2014
 
Inlägg: 27893
Blev medlem: 2003-03-23
Ort: Krischansta

Inläggav Naqref » 2006-11-29 23:13

Svante skrev:Jag har ändå för mig att förlusterna pga detta ökar med frekvensen, precis som du säger och att fenomenet alltså märks mest vid ultraljudsfrekvenser.


Mjo det är just det jag tycker är rimligt. Vid höga frekvenser (korta våglängder) så spiller molekylrörelerna över mellan vågtopparna/dalarna och utjämnar skillnaderna. Det är kanske därför (nu spekulerar jag friskt eftersom jag inte har haft behovet att undersöka just detta) diskantfallet blir värre med hög luftfuktighet? Vattenmolekylerna är ju mycket lättare och har därmed högre medelhastighet och därför borde denna dämpande effekt bli märkbart mycket större med luftfuktigheten.
Audiodesigner åt en del. Larsen, Holographic Audio etc.
CEO och huvudägare i Acoustic Landscape R&D AB.
CTO / R&D Manager och delägare i Acoustic Illusion AB.

Användarvisningsbild
Svante
Audiot!
 
Inlägg: 37552
Blev medlem: 2004-03-03
Ort: oakustisk

Inläggav Svante » 2006-11-29 23:46

Naqref™ skrev:
Svante skrev:Jag har ändå för mig att förlusterna pga detta ökar med frekvensen, precis som du säger och att fenomenet alltså märks mest vid ultraljudsfrekvenser.


Mjo det är just det jag tycker är rimligt. Vid höga frekvenser (korta våglängder) så spiller molekylrörelerna över mellan vågtopparna/dalarna och utjämnar skillnaderna. Det är kanske därför (nu spekulerar jag friskt eftersom jag inte har haft behovet att undersöka just detta) diskantfallet blir värre med hög luftfuktighet? Vattenmolekylerna är ju mycket lättare och har därmed högre medelhastighet och därför borde denna dämpande effekt bli märkbart mycket större med luftfuktigheten.


Nja, det står en vers om det där i elakboken, har jag för mig. Det är jätteknepig fysik det där och jag undrar om det inte var kemi med på ett hörn också.
Så länge har jag längat efter att loudness war skulle vara över. Nu börjar jag tro att vi faktiskt är där. Kruxet är att vi förlorade.

Användarvisningsbild
Naqref
Saknad grundare, †2014
 
Inlägg: 27893
Blev medlem: 2003-03-23
Ort: Krischansta

Inläggav Naqref » 2006-11-30 00:07

Svante skrev:Nja, det står en vers om det där i elakboken, har jag för mig. Det är jätteknepig fysik det där och jag undrar om det inte var kemi med på ett hörn också.


Verkar vara primärt beroende av viskositet och sekundärt värmeöverföringseffekter och sedan därefter olinjäriteter i uppvärmingen som kan få olika effekter hos molekyler (rotation o d). Om jag läste rätt. Kemi nämndes inte med ett ord. Men jag har ju en tidig upplaga som trycktes 2000.
Audiodesigner åt en del. Larsen, Holographic Audio etc.
CEO och huvudägare i Acoustic Landscape R&D AB.
CTO / R&D Manager och delägare i Acoustic Illusion AB.

Användarvisningsbild
Svante
Audiot!
 
Inlägg: 37552
Blev medlem: 2004-03-03
Ort: oakustisk

Inläggav Svante » 2006-11-30 00:37

Naqref™ skrev:
Svante skrev:Nja, det står en vers om det där i elakboken, har jag för mig. Det är jätteknepig fysik det där och jag undrar om det inte var kemi med på ett hörn också.


Verkar vara primärt beroende av viskositet och sekundärt värmeöverföringseffekter och sedan därefter olinjäriteter i uppvärmingen som kan få olika effekter hos molekyler (rotation o d). Om jag läste rätt. Kemi nämndes inte med ett ord. Men jag har ju en tidig upplaga som trycktes 2000.


Nja sidan som är intressant är 2-32. Den sidan har inte ändrats. Molekylära relaxationsfenomen, vattenånga och koldioxid nämns där.

Men jag kan inte det där, egentligen, jag har mest hört JoLi säga att det är komplicerat och att det inte var så länge sedan som man lyckades förklara experimentella data.
Så länge har jag längat efter att loudness war skulle vara över. Nu börjar jag tro att vi faktiskt är där. Kruxet är att vi förlorade.

Användarvisningsbild
lilltroll
 
Inlägg: 1697
Blev medlem: 2005-01-03

Så här ska det vara

Inläggav lilltroll » 2006-12-02 20:01

Antingen läste jag fel i ELAK boken när jag citera, alternativt står det fel i boken.

Så här ska det inte vara: "adiabatiska konstanten=förhållandet mellan mediets värmekapacivitet vid konstant tryck och konstant volym"

Det är ett "vi" för mycket.

Inledning:
Enheten för värmekapacitet är således joule per kelvin J/K. Värmdekapaciteten för 1 kg av ämnet kallas specifik värmekapacitet c, och mäts i joule per kilogram och kelvin, J/kgK. Beroende på de exprerimentella betingelserna anger man värmekapacitet vid konstant volym cv eller vid konstant tryck cp"

Om man istället studerar energiändringen per mol istället för kg så pratar man om den molara värmekapaciteten Cv, motsvarande om den isobara molara värmekapaciteten Cp (konstant tryck)

Kvoten mellan Cp och Cv kallas värmekapacitetskvoten.

Bild

Källa: "Energilära, Grundläggande termodynamik"
Formler är länkar från wikipedia
Man kan också läsa på.
http://sv.wikipedia.org/wiki/Adiabatisk_process

Vid en adabatisk process sker inget värmeutbyte med omgivningen; värme varken tillförs eller bortförs.

Då gäller

Bild

Ska göra en simulering på detta.
Beach 2010 - Nyårslöftet - ehh ingen kommentar
* * * * * * * * * * * * * * * * *

Användarvisningsbild
phon
Mr. Magneto
 
Inlägg: 13030
Blev medlem: 2004-11-12
Ort: þiudangardi

Re: Så här ska det vara

Inläggav phon » 2006-12-03 00:15

värmekapacitivitet står det

"Det är ett "vi" för mycket."

Det är ett "ti" för mycket också i så fall.
ⓘ De gustibus non est disputandum.

Användarvisningsbild
lilltroll
 
Inlägg: 1697
Blev medlem: 2005-01-03

Adiabatisk process

Inläggav lilltroll » 2006-12-03 18:25

Adiabatisk process:
Det hela bygger på att det inte ska tillföras eller bortföras någon energi, vilket är själva defenitionen för adiabatisk process. Då värmekapaciteten är olika för Cp och Cv så måste denna "justering" till för att behålla villkoret om energitransport.

Ljud beter sig adiabatiskt vid låga ljudtryck, men inte vid mycket stora ljudtryck.
Beach 2010 - Nyårslöftet - ehh ingen kommentar
* * * * * * * * * * * * * * * * *

Användarvisningsbild
Svante
Audiot!
 
Inlägg: 37552
Blev medlem: 2004-03-03
Ort: oakustisk

Re: Adiabatisk process

Inläggav Svante » 2006-12-03 18:48

lilltroll skrev:Ljud beter sig adiabatiskt vid låga ljudtryck, men inte vid mycket stora ljudtryck.


Hmm, är du säker på det? Jag hade trott att värmeutbytet mellan tryckmax och -min visserligen ökar, men att det gjorde det i proportion till trycket. Att den relativa adiabatiskheten skulle vara konstant, liksom.

Hmm, dessutom är ju intensiteten proportionell mot tryckets kvadrat, vilket skulle tyda på att relativa värmeutbytet minskar med ökad intensitet.

Hur är det?
Så länge har jag längat efter att loudness war skulle vara över. Nu börjar jag tro att vi faktiskt är där. Kruxet är att vi förlorade.

Användarvisningsbild
lilltroll
 
Inlägg: 1697
Blev medlem: 2005-01-03

Spekulationer

Inläggav lilltroll » 2006-12-03 23:11

Jag vet ingenting, men

Bild

gäller samtidigt som

Bild

Det är följande som är noll vid adiabatisk process

Bild

Där dU är förändringen i systemets inre energi och δW är det arbete utfört av systemet. Eftersom δQ=0 måste allt arbete ske på bekostnad av den inre energin.

Jag ser det som det svalpar runt mellan inre och yttre energi, utan att någon energi försvinner eller tillförs.

Man borde kunna rita in en grön kurva för varje cyklist ljud. Jag misstänker att det bara blir en kurva för små ljudtryck som inte spänner upp någon area, men att kurvan börja spänna upp en area för höga ljudtryck då en värmeförlust sker i medel under varje cykel.
Bild

Är det så här.
Denna gröna kurva kan sägas illustrera trycket i en högtalarlåda utan dämpull, ungefär som en XY-plot på ett oscilloskop.
Om man vred på ännu högre så skulle kurvan börja bli en krökt ellips, och då är processen ej längre adiabatisk.
Beach 2010 - Nyårslöftet - ehh ingen kommentar
* * * * * * * * * * * * * * * * *

Användarvisningsbild
lilltroll
 
Inlägg: 1697
Blev medlem: 2005-01-03

Processer där energi förflyttas i medel.

Inläggav lilltroll » 2006-12-03 23:32

För att visa några cykler där kurvan spänner upp en arean, och uträttar ett arbete.

Kylskåpet:
http://www.shermanlab.com/xmwang/javappl/carnotC.html

Bensinbilen:
http://www.shermanlab.com/xmwang/javappl/ottoCyc.html

Lastbilen:
http://www.shermanlab.com/xmwang/javappl/dieselCyc.html

Hur ser ljudcykeln ut vid HÖGA ljudtryck?
Beach 2010 - Nyårslöftet - ehh ingen kommentar
* * * * * * * * * * * * * * * * *

Användarvisningsbild
rikkitikkitavi
Good loudness
 
Inlägg: 12060
Blev medlem: 2003-07-16
Ort: Somewhere nice

Inläggav rikkitikkitavi » 2006-12-03 23:34

det formler du använder förutsätter en ideal gas, av vilken luft kan anses vara vid måttliga ljudtryck och rumstemperatur och däromkring.

men ju högre variationer i tryck max o minima desto mera avviker gasen från idealtillståndet (man brukar införa kompressibilitetsfaktorer i gaslagen) och vid extrema tryck när tryckmaxima ger höga temperaturhöjningar lokalt joniseras luften och utsänder elektromagnetisk
strålning vilket då strider mot adiabatvillkoret.

Men det säger sig självt att det är rätt extrema ljudtryck, och dessa är oftast bara assymetriska och pulsformade (tex chockvågen från ett detonerande kärnvapen)

tom en bensinmotor kan anses till viss del vara adiabatisk expansion av förbränningsgaserna samt kompression av luft o bränsle eftersom inget betydande värmeutbyte hinner ske med cylinderväggen.
detta trots att kompressionsarbetet värmer upp luften betydligt.

bara några exempel för att få lite perspektiv.

däremot kan man fundera på temperaturen i lådan , speciellt om det är så att man har mycket fyllning som hindrar (isolerar) värmeöverföring från baksidan av elementet. Man torde få en temperaturgradient inne i lådan i luften, luften närmst elementet varmare än längre från. Det framför allt vid stora effekter (det går rätt fort att värma upp några liter luft med 100 W effekt, ca 100C / liter/sekund)

men varmare luft uppför sig mera idealt :)

bara två icke matematiska observationer (det var läänge sedan jag läste termodynamik )

Användarvisningsbild
rikkitikkitavi
Good loudness
 
Inlägg: 12060
Blev medlem: 2003-07-16
Ort: Somewhere nice

Inläggav rikkitikkitavi » 2006-12-03 23:43

ang. ljudcykeln- borde man inte röra sig fram o tillbaka längs samma adiabat?
dvs från en start T o P till nästa T o P och sedan tillbaka?


/rickard

Användarvisningsbild
lilltroll
 
Inlägg: 1697
Blev medlem: 2005-01-03

Inläggav lilltroll » 2006-12-04 00:20

rikkitikkitavi skrev:ang. ljudcykeln- borde man inte röra sig fram o tillbaka längs samma adiabat?
dvs från en start T o P till nästa T o P och sedan tillbaka?


/rickard


Jo, men frågan var hur den ser ut för HÖGA ljudtryck.

Så tänker jag, att den rör sig fram och tillbaka längs samma adiabat, vid måttliga tryck, precis som den gröna linjen redan visar.
Man kan tänka sig att den gröna tjocka linjen beskriver en osc. rörelse på X-axeln eller ett ljud och skapar motsvarande tryck som kan avläsas på Y-axeln.
Tänk att membranets viloläge motsvarar den volym som är mitt i mellan de gröna strecken på X-axeln.


En yta blir det först när en energiförlust sker under cykeln, när processen ej längre är adiabatisk, och integralen av p dV över en hel cykel >0, men den energiförlusten tror jag är minimal i förhållande till den övriga temperaturutvecklingen i lådan som du nämner.

Ska nog göra en 3D graf där man ser temperaturen också under en adiabatisk cykel.

Jag tror att det går att beskriva trycket i lådan som funktion av den totala volymförändringen med ett andragradspolynom för tryck mellan 0-170 dB med god noggrannhet. Jag vill hitta coef. till polynomet bara, och jag misstänker att de kommer att ligga mellan den isotermiska processen och den adiabatiska beroende på hur mycket dämpmaterial man har i lådan. Har jag fel?
Beach 2010 - Nyårslöftet - ehh ingen kommentar
* * * * * * * * * * * * * * * * *

Användarvisningsbild
lilltroll
 
Inlägg: 1697
Blev medlem: 2005-01-03

Inläggav lilltroll » 2006-12-04 00:25

Om jag inte har fel så kan jag skriva det på formen

Bild

och saken är biff för mig. Bara jag har hittat den dominerande dist processen för ljudtryck <170 dB så.
Beach 2010 - Nyårslöftet - ehh ingen kommentar
* * * * * * * * * * * * * * * * *

Användarvisningsbild
lilltroll
 
Inlägg: 1697
Blev medlem: 2005-01-03

Simulering av adiabatisk process

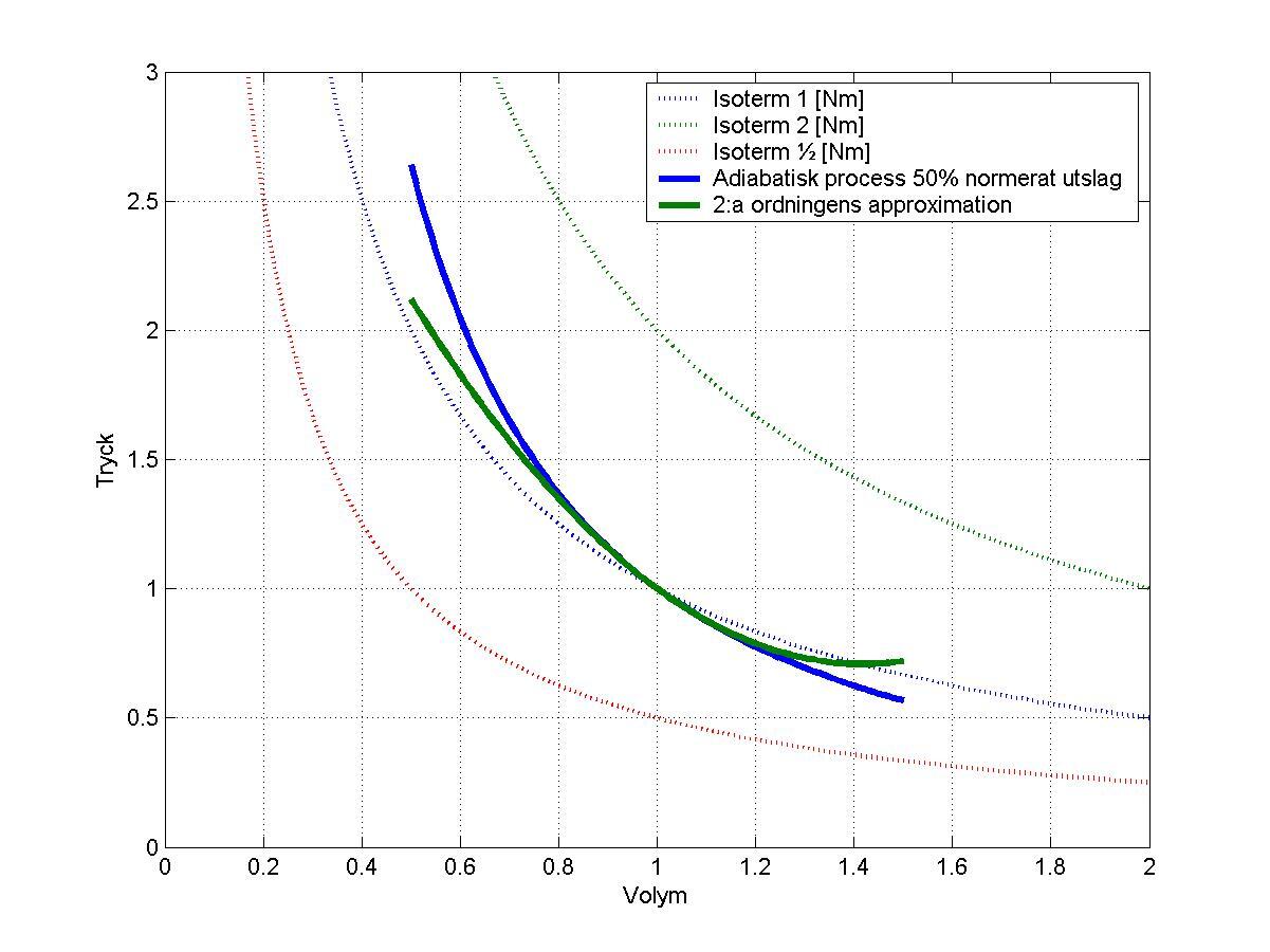
Inläggav lilltroll » 2006-12-06 17:11

Här kommer en simulering av en adiabatisk process i luft.
Tänk att högtalarkonen rör sig som en sinus med amplitituden ½ runt medelvärdet 1 i en sluten låda utan dämpmaterial. Volymen kommer då att variera från 0.5 till 1.5 och motsvarande tryck fås enligt den blå heldragna kurvan i lådan. En 2:a ordningens approximation ses i den gröna kurvan som stämmer väl överens upp till 15%. Dvs den fungerar väl sålänge utlaget på konen*konens area < 0.15 av den slutna lådans volym.

Bild

Om man inte är skrämd av 3-D grafer så kan man också se hur temperaturen varierar med tryck och volym enligt den blå kurvan. De andra färgerna är 2D avbildningar på "väggarna" av den blå kurvan.

Bild

Dimensionen tid får ni tänka själva, tänk en punkt som vandrar fram och tillbaka på de blå kurvorna.

Hmmm, något för Basta kanske att simulera dist? :?:
Beach 2010 - Nyårslöftet - ehh ingen kommentar
* * * * * * * * * * * * * * * * *

Användarvisningsbild
lilltroll
 
Inlägg: 1697
Blev medlem: 2005-01-03

Uppdrag till Svante

Inläggav lilltroll » 2006-12-06 17:14

Svante: Kan man nu lägga in en 2:a tons generator i ekvivalentschemat för den slutna högtalarlådan baserat på ovan simulering, nu när trycket är känt?
Beach 2010 - Nyårslöftet - ehh ingen kommentar
* * * * * * * * * * * * * * * * *

Användarvisningsbild
Svante
Audiot!
 
Inlägg: 37552
Blev medlem: 2004-03-03
Ort: oakustisk

Re: Uppdrag till Svante

Inläggav Svante » 2006-12-06 17:30

lilltroll skrev:Svante: Kan man nu lägga in en 2:a tons generator i ekvivalentschemat för den slutna högtalarlådan baserat på ovan simulering, nu när trycket är känt?


Frestande...

Men jag vet inte, om det finns en knapp märkt "distortion" i Basta! så kommer den att användas för att ta fram högtalarens distorsion oavsett hur många reservationer jag gör om att det här bara modellerar en liten del av den totala disten.

Det är ju så mycket annat som distar också, som det är jättelurigt att mata in.
Så länge har jag längat efter att loudness war skulle vara över. Nu börjar jag tro att vi faktiskt är där. Kruxet är att vi förlorade.

Användarvisningsbild
Naqref
Saknad grundare, †2014
 
Inlägg: 27893
Blev medlem: 2003-03-23
Ort: Krischansta

Re: Uppdrag till Svante

Inläggav Naqref » 2006-12-06 17:37

Svante skrev:
Men jag vet inte, om det finns en knapp märkt "distortion" i Basta! så kommer den att användas för att ta fram högtalarens distorsion oavsett hur många reservationer jag gör om att det här bara modellerar en liten del av den totala disten.


Du kan ju lägga in ett aktiveringstest där man måste svara rätt på 5 flervalsfrågor innan knappen aktiveras ;) :P
Audiodesigner åt en del. Larsen, Holographic Audio etc.
CEO och huvudägare i Acoustic Landscape R&D AB.
CTO / R&D Manager och delägare i Acoustic Illusion AB.

Användarvisningsbild
Svante
Audiot!
 
Inlägg: 37552
Blev medlem: 2004-03-03
Ort: oakustisk

Re: Uppdrag till Svante

Inläggav Svante » 2006-12-06 19:22

Naqref™ skrev:Du kan ju lägga in ett aktiveringstest där man måste svara rätt på 5 flervalsfrågor innan knappen aktiveras ;) :P


:lol: :lol:

Alltså, jag tänkte jag skulle minska mängden frågor till mig...
Så länge har jag längat efter att loudness war skulle vara över. Nu börjar jag tro att vi faktiskt är där. Kruxet är att vi förlorade.

Användarvisningsbild
phon
Mr. Magneto
 
Inlägg: 13030
Blev medlem: 2004-11-12
Ort: þiudangardi

Inläggav phon » 2006-12-07 00:13

Den kan väl ligga under *
ⓘ De gustibus non est disputandum.

Nästa

Återgå till Teknikforum


Vilka är online

Användare som besöker denna kategori: Hjalmar_Branting, MoonMartin och 32 gäster